该测试题包含29个小题,3个大题。共40小问,每问2.5分,共100分。
建议时长:90分钟。完成后会出现视频讲解,及我对你相应的评价。
Start
嗨!你已经完成了.
你做对了%%SCORE%%个题,一共%%TOTAL%%个题.
我对你的评价是:%%RATING%%
1-6题讲解:
2-14题讲解:
14-21题讲解:
22-28题讲解:
29-32题讲解:
33-35题讲解:
36-40题讲解:
Your answers are highlighted below.
Question 1 |
小题
A | |
B | |
C | |
D |
Question 2 |
A | 6 |
B | 8 |
Question 3 |
A | |
B | |
C | |
D |
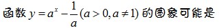
Question 4 |
A | ![]() |
B | ![]() |
C | ![]() |
D | ![]() |
Question 5 |
A | |
B | |
C | |
D |
Question 6 |
A | -1 |
B | 1 |
Question 7 |
A | |
B | |
C | |
D |
Question 8 |
A | |
B | |
C | |
D |
Question 9 |
A | |
B | |
C | |
D |
Question 10 |
A | |
B | |
C | |
D |
Question 11 |
A | |
B |
Question 12 |
A | 7 |
B | 8 |
Question 13 |
A | |
B | |
C | |
D |
Question 14 |
A | |
B | |
C | |
D |
Question 15 |
A | 15 |
B | 17 |
Question 16 |
A | |
B | |
C | |
D |
Question 17 |
A | 8 |
B | 16 |
Question 18 |
A | |
B | |
C | |
D |
Question 19 |

A | 3 |
B | 5 |
Question 20 |

A | |
B | |
C | |
D |
Question 21 |

A | |
B | |
C | |
D |
Question 22 |
A | |
B |
Question 23 |
A | |
B | |
C | |
D |
Question 24 |
A | |
B | |
C | |
D |
Question 25 |
A | |
B |
Question 26 |
A | |
B | |
C | |
D |
Question 27 |
A | |
B | |
C | |
D |
Question 28 |
A | |
B |
Question 29 |
A | |
B | |
C | |
D |
Question 30 |
以下为大题部分
A | |
B |
Question 31 |
A | |
B |
Question 32 |
A | |
B |
Question 33 |
A | |
B |
Question 34 |
A | |
B |
Question 35 |
A | 1.5 |
B | 1.7 |
Question 36 |
A | |
B |
Question 37 |
A | -2 |
B | 1 |
Question 38 |
A | |
B |
Question 39 |
A | |
B |
Question 40 |
A | |
B |
Once you are finished, click the button below. Any items you have not completed will be marked incorrect.
Get Results
There are 40 questions to complete.
← |
List |
→ |
Return
Shaded items are complete.
| 1 | 2 | 3 | 4 | 5 |
| 6 | 7 | 8 | 9 | 10 |
| 11 | 12 | 13 | 14 | 15 |
| 16 | 17 | 18 | 19 | 20 |
| 21 | 22 | 23 | 24 | 25 |
| 26 | 27 | 28 | 29 | 30 |
| 31 | 32 | 33 | 34 | 35 |
| 36 | 37 | 38 | 39 | 40 |
| End |
Return
You have completed
questions
question
Your score is
Correct
Wrong
Partial-Credit
You have not finished your quiz. If you leave this page, your progress will be lost.
Correct Answer
You Selected
Not Attempted
Final Score on Quiz
Attempted Questions Correct
Attempted Questions Wrong
Questions Not Attempted
Total Questions on Quiz
Question Details
Results
Date
Score
Hint
Time allowed
minutes
seconds
Time used
Answer Choice(s) Selected
Question Text
All done
滚!别让我再看见你!
打你一顿都算看得起你!滚一边重学去!
孩子,你真得是欠扁啊!去墙角,重学!
重学!没得商量!
我非常不满意,小破孩儿!重学!
不懂别装,重学!
不满意!不懂就问!装懂最可恨!
凑合吧!勉勉强强!
勉强过关!
嗯,还不错,对得起粮食!
Perfect! 非常完美!地球就靠你了!






