zlssx.cn

忘记密码

响应双减政策,本公司已停止开设中国境内辅导班、家教课程,请勿咨询。

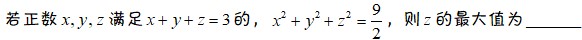
秒杀-不等式-代数法-例18-3※


Your answers are highlighted below.
Question 1
A
B
Question 1 Explanation: 
Once you are finished, click the button below. Any items you have not completed will be marked incorrect. Get Results
There is 1 question to complete.
List
Return
Shaded items are complete.
1End
Return

Comments are closed.

会员登录关闭

记住我 忘记密码

注册会员关闭

小提示: 您的密码会通过填写的"电子邮箱"发送给您.