Your answers are highlighted below.
Question 1 |
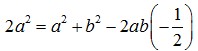
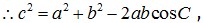
Question 1 Explanation:

Once you are finished, click the button below. Any items you have not completed will be marked incorrect.
There is 1 question to complete.
|
List |









会员登录关闭
注册会员关闭