Your answers are highlighted below.
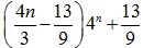
Question 1 |
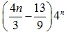
Question 1 Explanation:
Once you are finished, click the button below. Any items you have not completed will be marked incorrect.
There is 1 question to complete.
|
List |


