![]()
![]()
![]()
![]()
Start
Your answers are highlighted below.
Question 1 |
A | 1 |
B | 2 |
Question 1 Explanation:
Question 2 |
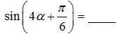
A | ![]() |
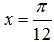
B | ![]() |
Question 2 Explanation:
Question 3 |
A | |
B |
Question 3 Explanation:
Question 4 |

A | |
B |
Question 4 Explanation:
Question 5 |
A | |
B |
Question 5 Explanation:
Once you are finished, click the button below. Any items you have not completed will be marked incorrect.
Get Results
There are 5 questions to complete.
← |
List |
→ |
Return
Shaded items are complete.
| 1 | 2 | 3 | 4 | 5 |
| End |
Return
You have completed
questions
question
Your score is
Correct
Wrong
Partial-Credit
You have not finished your quiz. If you leave this page, your progress will be lost.
Correct Answer
You Selected
Not Attempted
Final Score on Quiz
Attempted Questions Correct
Attempted Questions Wrong
Questions Not Attempted
Total Questions on Quiz
Question Details
Results
Date
Score
Hint
Time allowed
minutes
seconds
Time used
Answer Choice(s) Selected
Question Text
All done




